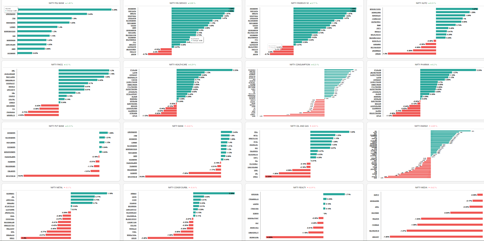
I am suggesting a “Multi-Sector Grid” view that allows traders to see the internal strength of every major Nifty sector simultaneously. Instead of clicking through one sector at a time, this grid view provides a high-level overview of the entire market’s breadth in a single screen.
Proposed Feature Details:
-
Grid Layout View: A single dashboard displaying mini-charts/bars for all key sectors (PSU Bank, IT, Pharma, Auto, etc.) concurrently.
-
Top Gainers/Losers per Sector: Each sector block should list the top 5-10 constituent stocks and their percentage change to identify which specific stocks are driving the sectoral move.
-
Color-Coded Momentum: Instant visual cues (Green for strength, Red for weakness) across the entire grid to spot “Sectoral Divergence” (e.g., when PSU Banks are surging while Private Banks are lagging).
-
Direct Order Placement: The ability to hover over a stock within these mini-lists to quickly open a “Buy/Sell” order window or add it to a watchlist.
Why this is a game-changer for Dhan Users: Intraday traders need to identify where the “smart money” is moving as soon as the market opens. A grid view like this eliminates the need for multiple tabs and allows for “Relative Strength” analysis at a glance. It helps in spotting “laggard” trades and “breakout” sectors much faster than traditional lists.
